一、单选题
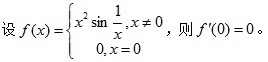
1.题目见图片![图片[1] | 奥鹏大工14秋《高等数学》在线作业1答案 | 零号床学习笔记](http://file.open.com.cn/ItemDB/-101410044/5ad38bc7-fc7f-4bd9-825d-a8fe672388bd/20141017152659528.jpg)
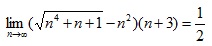
2.题目见图片![图片[2] | 奥鹏大工14秋《高等数学》在线作业1答案 | 零号床学习笔记](http://file.open.com.cn/ItemDB/-101410044/409b4852-43b9-4240-80ae-6fff3c0f73cb/20141017152640199.jpg)
3.题目见图片![图片[3] | 奥鹏大工14秋《高等数学》在线作业1答案 | 零号床学习笔记](http://file.open.com.cn/ItemDB/-101410044/fcc0f2c1-e413-4f31-b4c2-4700ea15e05d/20141017152622917.jpg)
4.题目见图片![图片[4] | 奥鹏大工14秋《高等数学》在线作业1答案 | 零号床学习笔记](http://file.open.com.cn/ItemDB/-101410044/9cd3ba79-9f8b-41e2-bea8-3579fd93ed1e/20141017152748639.jpg)
5.题目见图片![图片[5] | 奥鹏大工14秋《高等数学》在线作业1答案 | 零号床学习笔记](http://file.open.com.cn/ItemDB/-101410044/fd70ff68-2501-4e48-bb12-e5843d6f562d/20141017152831235.jpg)
6.题目见图片![图片[6] | 奥鹏大工14秋《高等数学》在线作业1答案 | 零号床学习笔记](http://file.open.com.cn/ItemDB/-101410044/10640a90-6d46-4662-bcc8-eadf608f7a45/20141017152924862.jpg)
7.题目见图片![图片[7] | 奥鹏大工14秋《高等数学》在线作业1答案 | 零号床学习笔记](http://file.open.com.cn/ItemDB/-101410044/6e13cfe2-032a-4327-a29d-5c92c7b49053/20141017152730670.jpg)
8.题目见图片![图片[8] | 奥鹏大工14秋《高等数学》在线作业1答案 | 零号床学习笔记](http://file.open.com.cn/ItemDB/-101410044/49ad105b-449a-42b1-af66-bc5fc3a99b57/2014101715295408.jpg)
9.题目见图片![图片[9] | 奥鹏大工14秋《高等数学》在线作业1答案 | 零号床学习笔记](http://file.open.com.cn/ItemDB/-101410044/ef2c3ea0-d3b3-476f-a7dc-fce2865f335f/20141017152848626.jpg)
10.
题目见图片
![图片[10] | 奥鹏大工14秋《高等数学》在线作业1答案 | 零号床学习笔记](http://file.open.com.cn/ItemDB/-101410044/6659dc7f-9ad2-40a7-abcb-39594c8befc1/20141017152811906.jpg)
二、判断题
1.题目见图片![图片[11] | 奥鹏大工14秋《高等数学》在线作业1答案 | 零号床学习笔记](http://file.open.com.cn/ItemDB/-101410044/269e018e-f8ef-461f-aa53-0ad96937b793/20141017153422998.jpg)
A. 错误
B. 正确
2.题目见图片![图片[12] | 奥鹏大工14秋《高等数学》在线作业1答案 | 零号床学习笔记](http://file.open.com.cn/ItemDB/-101410044/9b28b0bc-8adf-4c7a-8f45-27783900b5c5/2014101715347607.jpg)
A. 错误
B. 正确
3.题目见图片![]()
A. 错误
B. 正确
4.题目见图片![图片[14] | 奥鹏大工14秋《高等数学》在线作业1答案 | 零号床学习笔记](http://file.open.com.cn/ItemDB/-101410044/0bf4e93c-510e-4d4e-b311-bb6b73619bae/20141017153336512.jpg)
A. 错误
B. 正确
5.题目见图片![]()
A. 错误
B. 正确
6.题目见图片![图片[16] | 奥鹏大工14秋《高等数学》在线作业1答案 | 零号床学习笔记](http://file.open.com.cn/ItemDB/-101410044/a53f2d28-2d1f-4607-b546-dc9b3c67fdb7/20141017153320886.jpg)
A. 错误
B. 正确
7.题目见图片![]()
A. 错误
B. 正确
8.题目见图片![]()
A. 错误
B. 正确
9.题目见图片![图片[19] | 奥鹏大工14秋《高等数学》在线作业1答案 | 零号床学习笔记](http://file.open.com.cn/ItemDB/-101410044/3a88116f-e1f9-437d-ada3-63e5e0a9ba67/2014101715336917.jpg)
A. 错误
B. 正确
10.题目见图片![图片[20] | 奥鹏大工14秋《高等数学》在线作业1答案 | 零号床学习笔记](http://file.open.com.cn/ItemDB/-101410044/794823df-b2c5-4a86-acd8-4aa0beff0c39/20141017153352450.jpg)
A. 错误
B. 正确
三、答案下载
© 版权声明
分享是一种美德,转载请保留原链接
THE END









暂无评论内容