国开学习网《经济数学基础1》形考任务2答案 | 零号床学习笔记
零号床学习笔记 | 国开学习网形考任务
  • 首页
  • 形考答案特惠
  • 毕业论文
  • 余额充值优惠
  • 推广返利NEW
  • 登录
  • 注册
  • 首页
  • 形考答案特惠
  • 毕业论文
  • 余额充值优惠
  • 推广返利NEW
登录
注册
找回密码

快速登录

QQ登录微信登录
  • 首页
  • 国开考试
  • 形考任务
  • 正文

国开学习网《经济数学基础1》形考任务2答案

零号床的头像 | 零号床学习笔记
零号床
11月21日 17:25更新
关注私信
424182
国开学习网《经济数学基础1》形考任务2答案 | 零号床学习笔记
国开学习网《经济数学基础1》形考任务2答案
此内容为付费阅读,请付费后查看
¥4
限时特惠
¥5
登录购买
付费阅读
已售 238

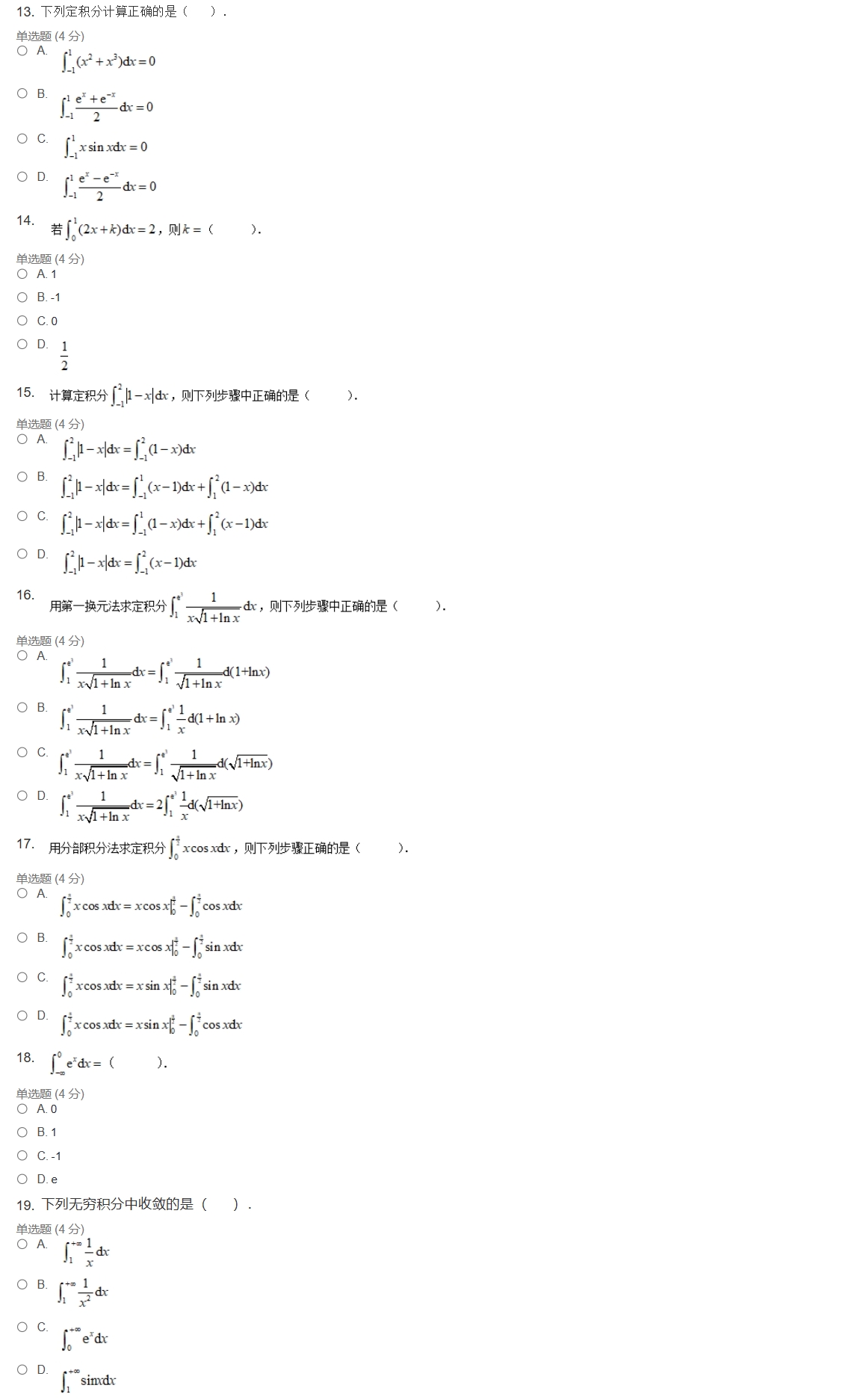
  此处内容已隐藏,请付费后查看

【上面答案为下列试题答案,请核对试题后再购买】
经济数学基础1

经济数学基础1

经济数学基础1

经济数学基础1

© 版权声明
分享是一种美德,转载请保留原链接
THE END
形考任务
# 经济数学基础1
文章不错?点个赞呗
点赞182 分享
QQ空间微博QQ好友海报分享复制链接
收藏

上一篇

国开学习网《初级经济学》形考任务1-3答案

下一篇

国开学习网《经济数学基础1》形考任务1答案
相关推荐
    国开学习网专科公共事业管理专业形考任务答案 | 零号床学习笔记

    国开学习网专科公共事业管理专业形考任务答案

    3月2日 21:45
    231
    16秋季学期广告心理学学习周期0005形考任务_0007答案 | 零号床学习笔记

    16秋季学期广告心理学学习周期0005形考任务_0007答案

    11月6日 10:48
    578
    电大17春季学期广告文案学习周期03任务答案 | 零号床学习笔记

    电大17春季学期广告文案学习周期03任务答案

    3月30日 09:23
    778
    电大会展概论学习周期01任务_0002答案 | 零号床学习笔记

    电大会展概论学习周期01任务_0002答案

    3月23日 13:56
    700
    国开电大《公共政策概论》形考任务1-4答案 | 零号床学习笔记

    国开电大《公共政策概论》形考任务1-4答案

    11月22日 08:21
    1.3W+
    电大课程与教学论学习周期答案01-04任务 | 零号床学习笔记

    电大课程与教学论学习周期答案01-04任务

    11月20日 20:35
    1326
    国开电大《人文英语1》形考任务单元自测2答案 | 零号床学习笔记

    国开电大《人文英语1》形考任务单元自测2答案

    4月27日 14:53
    ¥1.61.5W+
    国开学习网《流体力学》形考作业9答案 | 零号床学习笔记

    国开学习网《流体力学》形考作业9答案

    3月23日 17:45
    ¥2.4365
热门文章
国开学习网电大《形势与政策》形考任务专题测验大作业答案 | 零号床学习笔记
3.1W+人已阅读
国开学习网电大《形势与政策》形考任务专题测验大作业答案
TOP1
国开电大《人文英语4》形考任务单元自测1-8答案 | 零号床学习笔记
国开电大《人文英语4》形考任务单元自测1-8答案
9月29日 09:541.1W+人已阅读
TOP2
国开电大《理工英语4》形考任务单元自测1-8答案 | 零号床学习笔记
国开电大《理工英语4》形考任务单元自测1-8答案
9月20日 09:118439人已阅读
TOP3
国开电大《管理英语4》形考任务单元自测1-8答案 | 零号床学习笔记
国开电大《管理英语4》形考任务单元自测1-8答案
9月29日 09:406629人已阅读
TOP4
国家开放大学电大《人文社会科学基础(A)》形考任务1-2答案 | 零号床学习笔记
国家开放大学电大《人文社会科学基础(A)》形考任务1-2答案
9月6日 12:025899人已阅读
TOP5
国开电大《行政领导学》形考任务1-4答案 | 零号床学习笔记
国开电大《行政领导学》形考任务1-4答案
9月20日 10:034093人已阅读
TOP6
  • 零号床学习笔记

  • 友链申请 免责声明 广告合作 关于我们

    Copyright © 2024 · 零号床 · 运维 · 托管于 阿里云
    扫一扫加微信 | 零号床学习笔记
  • 微信扫码关注 | 零号床学习笔记

    微信扫码关注
扫码添加微信 | 零号床学习笔记
在手机上浏览此页面

登录
没有账号?立即注册
用户名或邮箱
登录密码
找回密码

社交账号登录

QQ登录微信登录
注册
已有账号,立即登录
设置用户名
设置密码
重复密码
扫码登录
使用其它方式登录或注册扫码登录